【联系我们】
立即注册 找回密码

QQ登录

只需一步,快速开始

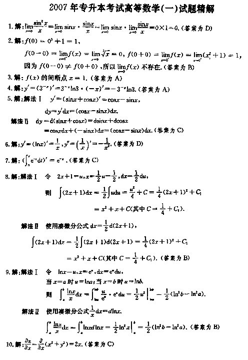
2007年成人高考专升本(高数一)试题--真命题及答案

2008-3-11 00:00| 发布者: liqiang| 查看: 1280| 评论: 0|原作者: liqiang

摘要: 学习地址:济南市花园路58号(历城区党校大门口咨询接待处)。邮箱:ck@sdcknet.cn咨询电话:0531—699515861555287916613176021506网址:山东省成人教育考试网www.sdcknet.cn乘车路线:市内乘30路、80路、118路、201 ...





学习地址:济南市花园路58号(历城区党校大门口咨询接待处)。

    : ck@sdcknet.cn

咨询电话:053169951586  15552879166  13176021506

    址:山东省成人教育考试网 www.sdcknet.cn

乘车路线:市内乘30路、80路、118路、201路到辛祝路南口站下车,乘11路、138路、308路、K91路到华信路北口站下车,沿花园路与华信路十字路口向东50米路南历城区党校大门口咨询接待处




 
 
成考咨询
成考咨询
职业资格
联系电话
花园路58号:
0531-69951586
山大路175号:
0531-58587197
奥体西路1222号:
0531-58587196
欢迎咨询
 

济南市花园路58号(历城党校)|电话:0531-69951586 QQ:873877093|Archiver|(鲁ICP备19011213号)|济南市历城区财大教育培训学校    

GMT+8, 2025-10-15 05:10

返回顶部